Ruch po okręgu – przyspieszenie dośrodkowe
Ruch po okręgu – przyspieszenie dośrodkowe to jedno z kluczowych zagadnień fizyki, ponieważ — wbrew pozorom — opisuje nie tylko ruch planet czy satelitów. Spotykamy go również w karuzelach, wentylatorach, samochodach pokonujących zakręt czy nawet w… wiadrze z wodą zakręconym nad głową ucznia.
Dlatego nauczyciele Moose Polska, prowadzący zajęcia w takich miastach jak Warszawa, Kraków i Wrocław, kładą nacisk na zrozumienie, że fizyka nie jest abstrakcją. Jest narzędziem do opisywania codziennego świata — a ruch po okręgu jest najlepszym przykładem tej praktyczności.
Mówimy o ruchu po okręgu, gdy ciało porusza się po trajektorii w kształcie koła.
Co ważne — nawet jeśli prędkość liniowa (czyli szybkość) jest stała, ruch nie jest jednostajny, ponieważ zmienia się kierunek wektora prędkości.
Jak tłumaczą korepetytorzy w Moose Poznań, ciało zawsze „skręca”, co powoduje, że musi na nie działać siła, która zmienia kierunek ruchu.
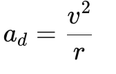
Przyspieszenie dośrodkowe to wielkość fizyczna opisująca, jak szybko zmienia się kierunek ruchu ciała poruszającego się po okręgu.
Zawsze jest skierowane do środka okręgu.

gdzie:
v – prędkość liniowa,
r – promień okręgu.
W szkołach Moose Katowice nauczyciele podkreślają, że jeśli ciało przyspiesza „do środka”, to znaczy, że coś je tam ciągnie — czyli działa na nie siła dośrodkowa.
Przyspieszenie dośrodkowe wynika z siły, która powoduje ten ruch:

Dlatego, jeżeli samochód wjeżdża w zakręt, to opony muszą zapewnić tę siłę — inaczej pojazd wyjedzie poza tor jazdy.
To właśnie tłumaczy się podczas zajęć w Moose Lublin i Moose Gdańsk, bo ucznia łatwiej przekonać, gdy widzi fizykę na drodze do szkoły, nie tylko w zeszycie.
Ruch po okręgu można zauważyć w wielu miejscach, m.in.:
Uczniowie w Moose Łódź rozwiązują zadania, ale też analizują filmiki i przykłady, ponieważ — jak pokazuje doświadczenie nauczycieli — wzory nabierają sensu dopiero wtedy, gdy stoją za nimi obrazy z życia.
Zadanie:
Samochód porusza się z prędkością 20 m/s po okręgu o promieniu 50 m. Oblicz przyspieszenie dośrodkowe.
Dane:
v = 20 m/s
r = 50 m
Obliczenia:

Odpowiedź:
Przyspieszenie dośrodkowe wynosi 8 m/s².
Tego typu zadania są standardem na lekcjach w Moose Toruń i Moose Bydgoszcz, ponieważ świetnie łączą teorię i praktykę.
Korepetytorzy w Moose Białystok zauważają, że uczniowie często:
Dlatego u podstaw każdego działania powinno być pytanie:
„Czy ciało zmienia kierunek ruchu?”
Ruch po okręgu to jeden z tematów, który pozwala zrozumieć, jak fizyka opisuje świat — od parków rozrywki po kosmos. Przyspieszenie dośrodkowe pokazuje, że każda zmiana kierunku to wynik działania siły, nawet jeśli prędkość pozostaje taka sama.
Uczniowie korzystający z pomocy PolecaneKorepetycje.pl oraz nauczycieli Moose Polska w takich miastach jak Warszawa, Poznań, Wrocław czy Kraków, uczą się nie tylko liczyć, ale przede wszystkim rozumieć, dlaczego świat działa tak, a nie inaczej.
Fizyka nie komplikuje rzeczywistości — ona ją wyjaśnia.
O autorze: Grzegorz Kuzyk
Grzegorz Kuzyk — prawnik, ekspert HR, finansów i zarządzania oraz rynku nieruchomości zagranicznych i przedsiębiorca międzynarodowy. Współzałożyciel Moose.pl, Moose.it, Moose.de, MooseCasaItalia.com, Moose.net.br, ApartamentoBrasil.com oraz Polecanekorepetycje.pl.
© 2026 Moose Polecane Korepetycje